|
c.
|
linia lui si coloana lui 
|
ANS: D
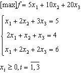
3. Fie
problema de programare liniara
Prima
iteratie a algoritmului simplex este
|
|
|
5
|
10
|
20
|
0
|
0
|
0
|
|
|
B
|
|
|
|
|
|
|
|
|
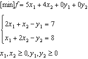
0
|
|
5
|
1
|
2
|
3
|
1
|
0
|
0
|
|
0
|
|
4
|
2
|
1
|
1
|
0
|
1
|
0
|
|
0
|
|
6
|
1
|
2
|
2
|
0
|
0
|
1
|
|
|
|
0
|
0
|
0
|
0
|
0
|
0
|
|
|
|
5
|
10
|
20
|
0
|
0
|
0
|
Stabiliti
care este vectorul care iese, respectiv vectorul care
intra in baza
|
a.
|
intra ,
iese 
|
d.
|
intra ,
iese 
|
|
b.
|
intra ,
iese 
|
e.
|
intra ,
iese 
|
|
c.
|
intra ,
iese 
|
ANS: A
4. Fie
problema de programare liniara
Care
este solutia optima pentru problema de programare
liniara?
|
a.
|
, ,

|
d.
|
, ,

|
|
b.
|
, ,

|
e.
|
, ,

|
|
c.
|
, ,

|
ANS: B
5. Fie
problema de programare liniara
Forma
standard pentru simplex a problemei de programare liniara este
|
a.
|
|
d.
|
|
|
b.
|
|
e.
|
|
|
c.
|
|
ANS: A
6. Fie
problema de programare liniara
Prima
iteratie a algoritmului simplex este:
|
|
|
7
|
8
|
0
|
0
|
|
|
|
|
|
|
|
|
|
0
|
|
5
|
2
|
1
|
1
|
0
|
|
0
|
|
4
|
1
|
2
|
0
|
1
|
|
|
0
|
0
|
0
|
0
|
0
|
|
|
|
7
|
8
|
0
|
0
|
Pivotul
se afla pe coloana corespunzatoare lui
|
a.
|
|
d.
|
|
|
b.
|
|
e.
|
|
|
c.
|
|
ANS: E
7. Fie
problema de programare liniara
Prima
iteratie a algoritmului simplex este:
|
|
|
7
|
8
|
0
|
0
|
|
|
|
|
|
|
|
|
|
0
|
|
5
|
2
|
1
|
1
|
0
|
|
0
|
|
4
|
1
|
2
|
0
|
1
|
|
|
0
|
0
|
0
|
0
|
0
|
|
|
|
7
|
8
|
0
|
0
|
Stabiliti
care este vectorul care intra, respectiv vectorul care
iese din baza
|
a.
|
intra ,
iese 
|
d.
|
intra ,
iese 
|
|
b.
|
intra ,
iese 
|
e.
|
intra ,
iese 
|
|
c.
|
intra ,
iese 
|
ANS: C
8. Fie
problema de programare liniara
Aplicandu-se
algoritmul simplex se ajunge la un moment dat la:
|
|
|
7
|
8
|
0
|
0
|
|
|
|
|
|
|
|
|
|
0
|
|
3
|
|
0
|
1
|
|
|
8
|
|
2
|
|
1
|
0
|
|
|
|
16
|
4
|
8
|
0
|
4
|
|
|
|
|
|
|
|
Linia
lui este
|
a.
|
-3, 0, 0, 4
|
d.
|
-7, -8, 0, 0
|
|
b.
|
3, 0, 0,- 4
|
e.
|
4, 8, 0, 4
|
|
c.
|
7, 8, 0, 0
|
ANS: B
9. Fie
problema de programare liniara
Aplicandu-se
algoritmul simplex se ajunge la un moment dat la:
|
|
|
7
|
8
|
0
|
0
|
|
|
|
|
|
|
|
|
|
0
|
|
3
|
|
0
|
1
|
|
|
8
|
|
2
|
|
1
|
0
|
|
|
|
16
|
4
|
8
|
0
|
4
|
|
|
|
3
|
0
|
0
|
-4
|
Pivotul
se afla pe coloana lui
|
a.
|
|
d.
|
|
|
b.
|
|
e.
|
alt raspuns
|
|
c.
|
|
ANS: B
10. Fie
problema de programare liniara
|
a.
|
problema are optim infinit;
|
d.
|
solutia optima este ,
,
|
|
b.
|
solutia optima este ,
,
|
e.
|
solutia optima este ,
, .
|
|
c.
|
problema are optim infinit
|
ANS: E
11. Fie
problema de programare liniara
Matricea
asociata formei standard este
|
a.
|
|
d.
|
|
|
b.
|
|
e.
|
|
|
c.
|
|
ANS: D
12. Fie
problema de programare liniara
Duala
acestei probleme de programare liniara este
|
a.
|
|
d.
|
|
|
b.
|
|
e.
|
|
|
c.
|
|
ANS: E
13. Fie
problema de programare liniara
Duala
acestei probleme de programare liniara este:
|
a.
|
|
d.
|
|
|
b.
|
|
e.
|
|
|
c.
|
|
ANS: D
14. Fie
problema de programare liniara
Matricea
asociata formei standard are prima linie:
|
a.
|
3 0 2 5 0 1
|
d.
|
3 0 2 5 0 -1
|
|
b.
|
3 2 5 4
|
e.
|
2 1 3 2 3
|
|
c.
|
2 -1 3 2 3
|
ANS: D
15. Fie
problema de programare liniara
Dupa
ce se aduce la forma standard se obtine primul tabel
simplex:
|
|
|
7
|
-8
|
3
|
2
|
2
|
0
|
|
|
|
|
|
|
|
|
|
|
|
|
4
|
3
|
0
|
1
|
1
|
0
|
1
|
|
|
1
|
2
|
0
|
-1
|
1
|
1
|
0
|
|
|
2
|
1
|
1
|
2
|
2
|
0
|
0
|
Baza
initiala pentru algoritmul simplex este
|
a.
|
|
d.
|
|
|
b.
|
|
e.
|
|
|
c.
|
|
ANS: D
16. Fie
problema de programare liniara
Dupa
ce se aduce la forma standard se obtine primul tabel
simplex:
|
|
|
2
|
2
|
3
|
2
|
5
|
0
|
|
|
|
|
|
|
|
|
|
|
|
0
|
|
4
|
3
|
0
|
1
|
1
|
0
|
1
|
|
2
|
|
1
|
2
|
1
|
-1
|
1
|
0
|
0
|
|
5
|
|
2
|
1
|
0
|
2
|
2
|
1
|
0
|
Linia
lui este
|
a.
|
12, 8, 2, 9, 12, 5, 0
|
d.
|
12, 9, 2, 8, 12, 5, 0
|
|
b.
|
0, 2, 2, 3, 2, 5, 0
|
e.
|
2, 1, 0, 2, 2, 1, 0
|
|
c.
|
0, 9, 2, -2, 12, 5, 0
|
ANS: D
17. Fie
problema de programare liniara
Dupa
ce se aduce la forma standard se obtine tabelul
simplex:
|
|
|
2
|
-1
|
3
|
2
|
3
|
0
|
|
|
|
|
|
|
|
|
|
|
|
0
|
|
4
|
3
|
0
|
1
|
1
|
0
|
1
|
|
-1
|
|
1
|
2
|
1
|
-1
|
1
|
0
|
0
|
|
3
|
|
2
|
1
|
0
|
2
|
2
|
1
|
0
|
|
|
5
|
1
|
-1
|
7
|
5
|
3
|
0
|
|
|
|
1
|
0
|
-4
|
-3
|
0
|
0
|
Pivotul
se afla pe coloana lui
|
a.
|
|
d.
|
|
|
b.
|
|
e.
|
|
|
c.
|
|
ANS: A
18. Fie
problema de programare liniara
Dupa
ce se aduce la forma standard se obtine tabelul
simplex:
|
|
|
2
|
-1
|
3
|
2
|
3
|
0
|
|
|
|
|
|
|
|
|
|
|
|
0
|
|
4
|
3
|
0
|
1
|
1
|
0
|
1
|
|
-1
|
|
1
|
2
|
1
|
-1
|
1
|
0
|
0
|
|
3
|
|
2
|
1
|
0
|
2
|
2
|
1
|
0
|
|
|
5
|
1
|
-1
|
7
|
5
|
3
|
0
|
|
|
|
1
|
0
|
-4
|
-3
|
0
|
0
|
Ce
decizie se ia?
|
a.
|
s-a obtinut solutia optima 
|
d.
|
problema are optim infinit
|
|
b.
|
solutia obtinuta nu este optima, intra in baza, iese din baza
|
e.
|
s-a obtinut solutia optima 
|
|
c.
|
solutia obtinuta nu este optima, intra in baza, iese din baza
|
ANS: B
19. Fie
problema de programare liniara
Atunci
|
a.
|
problema are optim infinit
|
d.
|
, 
|
|
b.
|
, 
|
e.
|
, 
|
|
c.
|
, 
|
ANS: C
20. Se
considera problema de transport:
|
|
|
|
Disponibil
|
|
|
2
|
1
|
3
|
20
|
|
|
1
|
4
|
2
|
45
|
|
|
3
|
5
|
4
|
65
|
|
Necesar
|
30
|
40
|
60
|
|
O
solutie initiala de baza obtinuta prin metoda coltului N-V este
|
a.
|
, ,
,
,
,
in rest 
|
d.
|
, ,
,
,
,
in rest 
|
|
b.
|
, ,
,
,
,
in rest 
|
e.
|
, ,
,
,
,
in rest 
|
|
c.
|
, ,
,
,
,
in rest 
|
ANS: E
21. Se
considera problema de transport:
|
|
|
|
Disponibil
|
|
|
2
|
1
|
3
|
20
|
|
|
1
|
4
|
2
|
45
|
|
|
3
|
5
|
4
|
65
|
|
Necesar
|
30
|
40
|
60
|
|
O
solutie initiala de baza obtinuta prin metoda costului minim pe linie este
|
a.
|
, ,
,
,
,
in rest 
|
d.
|
, ,
,
,
,
in rest 
|
|
b.
|
, ,
,
,
,
in rest 
|
e.
|
, ,
,
,
,
in rest 
|
|
c.
|
, ,
,
,
,
in rest 
|
ANS: C
22. Fie
problema de programare liniara
Duala
acesti probleme de programare liniara este
|
a.
|
|
d.
|
|
|
b.
|
|
e.
|
|
|
c.
|
|
ANS: B
23. Fie
problema de programare liniara
Matricea
sistemului restictiilor este
|
a.
|
|
d.
|
|
|
b.
|
|
e.
|
|
|
c.
|
|
ANS: A
24. Fie
problema de programare liniara
Forma
standard a problemei de programare liniara este
|
a.
|
|
d.
|
|
|
b.
|
|
e.
|
|
|
c.
|
|
ANS: D
25. Fie
problema de programare liniara
Prima
iteratie a algoritmului simplex este
|
|
B
|
|
|
|
|
|
|
|
|
|
0
|
|
40
|
1
|
0
|
1
|
2
|
1
|
0
|
0
|
|
0
|
|
16
|
2
|
1
|
3
|
0
|
0
|
1
|
0
|
|
0
|
|
48
|
1
|
1
|
2
|
0
|
0
|
0
|
1
|
Linia
lui este
|
a.
|
3, 5, 1, 6, 1, 1, 1
|
d.
|
3, 5, 1, 6, -M, -M, -M
|
|
b.
|
-3, -5, -1, -6, 0, 0, 0
|
e.
|
3, 5, 1, 6, 0, 0, 0
|
|
c.
|
3, 5, 1, 6, M, M, M
|
ANS: E
26. Fie
problema de programare liniara
Prima
iteratie a algoritmului simplex este
|
|
|
3
|
5
|
1
|
6
|
0
|
0
|
0
|
|
|
B
|
|
|
|
|
|
|
|
|
|
0
|
|
40
|
1
|
0
|
1
|
2
|
1
|
0
|
0
|
|
0
|
|
16
|
2
|
1
|
3
|
0
|
0
|
1
|
0
|
|
0
|
|
48
|
1
|
1
|
2
|
0
|
0
|
0
|
1
|
|
f
|
0
|
0
|
0
|
0
|
0
|
0
|
0
|
0
|
|
|
|
3
|
5
|
1
|
6
|
0
|
0
|
0
|
Pivotul
se afla pe
|
a.
|
coloana lui ,
linia lui 
|
d.
|
coloana lui ,
linia lui 
|
|
b.
|
coloana lui ,
linia lui 
|
e.
|
coloana lui ,
linia lui 
|
|
c.
|
coloana lui ,
linia lui 
|
ANS: A
27. Fie
problema de programare liniara
Prima
iteratie a algoritmului simplex este
|
|
|
3
|
5
|
1
|
6
|
0
|
0
|
0
|
|
|
B
|
|
|
|
|
|
|
|
|
|
0
|
|
40
|
1
|
0
|
1
|
2
|
1
|
0
|
0
|
|
0
|
|
16
|
2
|
1
|
3
|
0
|
0
|
1
|
0
|
|
0
|
|
48
|
1
|
1
|
2
|
0
|
0
|
0
|
1
|
|
f
|
0
|
0
|
0
|
0
|
0
|
0
|
0
|
0
|
|
|
|
3
|
5
|
1
|
6
|
0
|
0
|
0
|
Coloana
lui din urmatorul tabel simplex este
|
a.
|
|
c.
|
|
e.
|
|
|
b.
|
|
d.
|
|
ANS: B
28. Fie
problema de programare liniara
A
doua iteratie a algoritmului simplex este
|
|
|
3
|
5
|
1
|
6
|
0
|
0
|
0
|
|
|
B
|
|
|
|
|
|
|
|
|
|
6
|
|
20
|
|
0
|
|
1
|
|
0
|
0
|
|
0
|
|
16
|
2
|
1
|
3
|
0
|
0
|
1
|
0
|
|
0
|
|
48
|
1
|
1
|
2
|
0
|
0
|
0
|
1
|
|
f
|
120
|
3
|
0
|
3
|
6
|
3
|
0
|
0
|
|
|
|
0
|
5
|
-2
|
0
|
-3
|
0
|
0
|
Stabiliti
care este vectorul care intra si respectiv care iese
din baza
|
a.
|
intra ,
iese 
|
d.
|
intra ,
iese 
|
|
b.
|
intra ,
iese 
|
e.
|
intra ,
iese 
|
|
c.
|
intra ,
iese 
|
ANS: A
29. Fie
problema de programare liniara
Prin
aplicarea algoritmului simplex se ajunge la urmatorul tabel simplex
|
|
|
3
|
5
|
1
|
6
|
0
|
0
|
0
|
|
|
B
|
|
|
|
|
|
|
|
|
|
6
|
|
20
|
|
0
|
|
1
|
|
0
|
0
|
|
5
|
|
16
|
2
|
1
|
3
|
0
|
0
|
1
|
0
|
|
0
|
|
32
|
-1
|
0
|
-1
|
0
|
0
|
-1
|
1
|
|
f
|
200
|
13
|
5
|
18
|
6
|
3
|
5
|
0
|
|
|
|
-10
|
0
|
-17
|
0
|
-3
|
-5
|
0
|
Ce
decizie se ia?
|
a.
|
problema are optim infinit;
|
d.
|
solutia obtinuta este cea optima si ,
,

|
|
b.
|
solutia obtinuta nu este ce optima: intra in baza si iese 
|
e.
|
solutia obtinuta este cea optima si ,
,

|
|
c.
|
solutia obtinuta este cea optima si ,
,

|
ANS: E
30. Fie
problema de programare liniara:
max f = .
Forma
standard a problemei de programare liniara va fi
|
a.
|
min f = 
, 
|
d.
|
max f = 
, 
|
|
b.
|
max f = 
, 
|
e.
|
min f = 
, 
|
|
c.
|
max f = 
, 
|
ANS: B
31. Fie
problema de programare liniara:
max f = 
Prima
iteratie a algoritmului simplex este:
|
|
|
10
|
16
|
0
|
0
|
0
|
|
|
B
|
|
|
|
|
|
|
|
0
|
|
1200
|
2
|
5
|
1
|
0
|
0
|
|
0
|
|
300
|
1
|
3/2
|
0
|
1
|
0
|
|
0
|
|
600
|
4
|
1
|
0
|
0
|
1
|
|
|
|
0
|
0
|
0
|
0
|
0
|
|
|
|
10
|
16
|
0
|
0
|
0
|
Pivotul
se va afla pe coloana corespunzatoare lui:
|
a.
|
|
d.
|
|
|
b.
|
|
e.
|
|
|
c.
|
|
ANS: A
32. Fie
problema de programare liniara:
max f = 
Prima
iteratie a algoritmului simplex este:
|
|
|
10
|
16
|
0
|
0
|
0
|
|
|
B
|
|
|
|
|
|
|
|
0
|
|
1200
|
2
|
5
|
1
|
0
|
0
|
|
0
|
|
300
|
1
|
3/2
|
0
|
1
|
0
|
|
0
|
|
600
|
4
|
1
|
0
|
0
|
1
|
|
|
|
0
|
0
|
0
|
0
|
0
|
|
|
|
10
|
16
|
0
|
0
|
0
|
Stabiliti
care este vectorul care intra in baza, respectiv care
iese din baza
|
a.
|
intra ,
iese 
|
d.
|
intra ,
iese 
|
|
b.
|
intra ,
iese 
|
e.
|
intra ,
iese 
|
|
c.
|
intra ,
iese 
|
ANS: C
33. Fie
problema de programare liniara:
max f = 
Prima
iteratie a algoritmului simplex este:
|
|
|
10
|
16
|
0
|
0
|
0
|
|
|
B
|
|
|
|
|
|
|
|
0
|
|
1200
|
2
|
5
|
1
|
0
|
0
|
|
0
|
|
300
|
1
|
3/2
|
0
|
1
|
0
|
|
0
|
|
600
|
4
|
1
|
0
|
0
|
1
|
|
|
|
0
|
0
|
0
|
0
|
0
|
|
|
|
10
|
16
|
0
|
0
|
0
|
Construind
urmatorul tabel simplex, aflati care este solutia
optima pentru problema de programare liniara?
|
a.
|
max f = 3200 ,
y=(200,0,400)
|
d.
|
problema are optim infinit
|
|
b.
|
max f = 3400 ,
y=(200,0,400)
|
e.
|
max f = 3200 ,
y=(200,200,400)
|
|
c.
|
nu are solutie
|
ANS: A
34. Fie
problema de programare liniara:
,
i=1,2,3
Baza
initiala pentru algoritmul simplex este
|
a.
|
|
d.
|
|
|
b.
|
|
e.
|
nu are baza initiala
|
|
c.
|
|
ANS: B
35. Fie
problema de programare liniara:
,
i=
|
|
|
2
|
1
|
1
|
3
|
2
|
|
|
B
|
|
|
|
|
|
|
|
2
|
|
8
|
1
|
0
|
0
|
1
|
2
|
|
1
|
|
12
|
0
|
1
|
0
|
2
|
1
|
|
1
|
|
16
|
0
|
0
|
1
|
1
|
3
|
|
|
|
|
|
|
|
|
Linia
corespunzatoare lui este
|
a.
|
|
d.
|
|
|
b.
|
|
e.
|
|
|
c.
|
|
ANS: D
36. Fie
problema de programare liniara:
,
i=1,2,3
Cu
ajutorul primului tabel simplex, precizati care este
solutia optima
|
a.
|
si 
|
d.
|
si 
|
|
b.
|
si 
|
e.
|
si 
|
|
c.
|
si 
|
ANS: A
37. Fie
problema de programare liniara:
min f =
Forma
standard a problemei este :
|
a.
|

|
d.
|


|
|
b.
|


|
e.
|


|
|
c.
|

, 
|
ANS: E
38. Fie
problema de programare liniara:
min f =
Matricea
asociata problemei scrisa in forma standard este:
|
a.
|
|
d.
|
|
|
b.
|
|
e.
|
|
|
c.
|
|
ANS: A
39. Fie
urmatoarea problema de programare liniara:
Matricea
asociata formei standard este
|
a.
|
|
d.
|
|
|
b.
|
|
e.
|
|
|
c.
|
|
ANS: A
40. Fie
urmatoarea problema de programare liniara:
Prima
iteratie a algoritmului simplex este:
|
|
|
3
|
4
|
1
|
0
|
0
|
-M
|
-M
|
|
|
B
|
|
|
|
|
|
|
|
|
|
0
|
|
7
|
5
|
-1
|
2
|
1
|
0
|
0
|
0
|
|
-M
|
|
4
|
1
|
2
|
-1
|
0
|
-1
|
1
|
0
|
|
-M
|
|
2
|
3
|
2
|
4
|
0
|
0
|
0
|
1
|
|
|
|
|
|
|
|
|
|
|
Linia
corespunzatoare lui este:
|
a.
|
3+4M;4+4M;1+3M;0;-M;-M-1
|
d.
|
-3-4M;-4-4M;1-3M;0;-M;-M+1
|
|
b.
|
3+4M;4+4M;1+3M;0;-M;0,0
|
e.
|
3+4M;4-4M;1+3M;0;-M;0,0
|
|
c.
|
-3+4M;-4+4M;-1+3M;0;M;M-1
|
ANS: B
41. Fie
urmatoarea problema de programare liniara:
Prima
iteratie pentru aceasta problema este:
3 4 1 0 0 -M -M
B
-M 7 5 -1 2 1 0 0 0
-M 4 1 2 -1 0 -1 1 0
0 2 3 2 4 0 0 0 1
Pentru
prima iteratie a algoritmului simplex stabiliti ce
vector intra in baza respectiv care iese din baza
|
a.
|
intra iese 
|
d.
|
intra ,
iese 
|
|
b.
|
intra iese 
|
e.
|
intra iese 
|
|
c.
|
intra iese

|
ANS: B
42. Fie
problema de programare liniara:
min f =
Solutia
problemei este
|
a.
|
min f =-1/2 
|
d.
|
min f =1
|
|
b.
|
min f =0
|
e.
|
min f =1
|
|
c.
|
min f =0
|
ANS: D
43. Fie
urmatoarea problema de transport
|
|
|
|
|
Disponibil
|
|
|
|
|
|
|
70
|
|
|
|
|
|
|
10
|
|
|
|
|
|
|
20
|
|
Necesar
|
50
|
25
|
15
|
10
|
|
Folosind
metoda coltului de NV stabiliti valoarea lui si a lui 
|
a.
|
=50, =5
|
d.
|
=50, =20
|
|
b.
|
=20, =10
|
e.
|
=20, =50
|
|
c.
|
=50, =10
|
ANS: C
44. Fie
urmatoarea problema de transport
|
|
|
|
|
Disponibil
|
|
|
5
|
6
|
2
|
3
|
70
|
|
|
2
|
2
|
1
|
4
|
10
|
|
|
6
|
8
|
3
|
4
|
20
|
|
Necesar
|
50
|
25
|
15
|
10
|
|
Folosind
metoda costurilor minime(din tablou) stabiliti
valoarea lui si a lui 
|
a.
|
=10, =25
|
d.
|
=15, =20
|
|
b.
|
=5, =25
|
e.
|
=10, =20
|
|
c.
|
=15, =25
|
ANS: E
45. Sa se scrie forma
standard pentru problema de programare liniara:
max f = 4x
+ 10x
+9x ,
x
+ x
+ 2x
18
2 x
+ x
+ 4x
20
x
+ x
+ x
12
x
0 ; i = 
|
a.
|
min f = 18x
+20x
+12x ,
x
+ x
+ 2x
+ y
= 4
2x
+ +
4x
+ y
= 10
x
+ x
+ x
+ y
= 9
x
0 ; i = 
y ,
y ,
y 0
|
d.
|
max f = 4x
+ 10x
+9x +0y +0y +0y ,
x
+ x
+ 2x
+ y
= 18
2x
+ +
4x
+ y
= 20
x
+ x
+ x
+ y
= 12
x
0 ; i = 
y ,
y ,
y 0
|
|
b.
|
max f = 4x
+ 10x
+9x ,
x
+ x
+ 2x
+ y
= 18
2x
+ x
+ 4x
- y
= 20
x
+ x
+ x
- y
= 12
x
0 ; i = 
y <0; y ,
y >0
|
e.
|
max f = 4x
+ 10x
+9x +0y +0y +0y ,
x
+ x
+ 2x
- y
= 18
2x
+ +
4x
- y
= 20
x
+ x
+ x
+-y
= 12
x
0 ; i = 
y ,
y ,
y 0
|
|
c.
|
min f = 0,
x
+ x
+ 2x
+ y
= 18
2x
+ x
+ 4x
+ y
= 20
x
+ x
+ x
+ y
= 20
x
0 ; i = 
y ,
y ,
y 0
|
ANS: D
46. Fie
urmatoarea problema de transport
|
|
|
|
|
Disponibil
|
|
|
5
|
6
|
2
|
3
|
70
|
|
|
3
|
2
|
1
|
4
|
10
|
|
|
6
|
8
|
3
|
4
|
20
|
|
Necesar
|
50
|
25
|
15
|
10
|
|
Folosind
metoda costurilor minime pe linie stabiliti valoarea lui si a lui 
|
a.
|
=10, =15
|
d.
|
=15, =20
|
|
b.
|
=5, =25
|
e.
|
=5, =15
|
|
c.
|
=10, =20
|
ANS: A
47. Fie
urmatoarea problema de transport
|
|
|
|
|
Disponibil
|
|
|
5
|
6
|
2
|
3
|
70
|
|
|
3
|
2
|
1
|
4
|
70
|
|
|
6
|
8
|
3
|
4
|
70
|
|
Necesar
|
50
|
75
|
25
|
60
|
|
Folosind
metoda diagonalei (coltului N-V) determinati 
|
a.
|
40
|
d.
|
60
|
|
b.
|
50
|
e.
|
20
|
|
c.
|
80
|
ANS: D
48. Fie
urmatoarea problema de transport
|
|
|
|
|
Disponibil
|
|
|
5
|
6
|
2
|
3
|
70
|
|
|
3
|
2
|
1
|
4
|
70
|
|
|
6
|
8
|
3
|
4
|
70
|
|
Necesar
|
50
|
75
|
25
|
60
|
|
Folosind
metoda diagonalei (coltului N-V) determinati 
|
a.
|
40
|
d.
|
60
|
|
b.
|
50
|
e.
|
20
|
|
c.
|
10
|
ANS: C
49. Fie
urmatoarea problema de transport
|
|
|
|
|
Disponibil
|
|
|
5
|
6
|
2
|
3
|
70
|
|
|
3
|
2
|
1
|
4
|
70
|
|
|
6
|
8
|
3
|
4
|
70
|
|
Necesar
|
50
|
75
|
25
|
60
|
|
Folosind
metoda diagonalei (coltului N-V) determinati 
|
a.
|
50
|
d.
|
60
|
|
b.
|
40
|
e.
|
70
|
|
c.
|
80
|
ANS: A
50. Fie
urmatoarea problema de transport
|
|
|
|
|
Disponibil
|
|
|
5
|
6
|
2
|
3
|
70
|
|
|
3
|
2
|
1
|
4
|
70
|
|
|
6
|
8
|
3
|
4
|
70
|
|
Necesar
|
50
|
75
|
25
|
60
|
|
Folosind
metoda diagonalei (coltului N-V) determinati 
|
a.
|
40
|
d.
|
60
|
|
b.
|
50
|
e.
|
55
|
|
c.
|
75
|
ANS: E
51. Fie
urmatoarea problema de transport
|
|
|
|
|
Disponibil
|
|
|
5
|
6
|
2
|
3
|
70
|
|
|
3
|
2
|
1
|
4
|
70
|
|
|
6
|
8
|
3
|
4
|
70
|
|
Necesar
|
50
|
75
|
25
|
60
|
|
Folosind
metoda diagonalei (coltului N-V) determinati 
|
a.
|
40
|
d.
|
60
|
|
b.
|
50
|
e.
|
25
|
|
c.
|
20
|
ANS: C
52. Fie
urmatoarea problema de transport
|
|
|
|
|
Disponibil
|
|
|
5
|
6
|
2
|
3
|
70
|
|
|
3
|
2
|
1
|
4
|
70
|
|
|
6
|
8
|
3
|
4
|
70
|
|
Necesar
|
50
|
75
|
25
|
60
|
|
Folosind
metoda diagonalei (coltului N-V) determinati costul de transport
|
a.
|
665
|
d.
|
400
|
|
b.
|
765
|
e.
|
750
|
|
c.
|
500
|
ANS: B
53. Fie
problema de programare liniara
Duala
sa este
|
a.
|
|
d.
|
|
|
b.
|
|
e.
|
|
|
c.
|
|
ANS: A
54. Fie
problema de programare liniara
Forma
standard este
|
a.
|
|
d.
|
|
|
b.
|
|
e.
|
|
|
c.
|
|
ANS: E
55. Fie
problema de programare liniara
Matricea
problemei in forma standard este
|
a.
|
|
d.
|
|
|
b.
|
|
e.
|
|
|
c.
|
|
ANS: A
56. Fie
problema de programare liniara
Matricea
problemei in forma standard pentru simplex, cu baza artificiala este
|
a.
|
|
d.
|
|
|
b.
|
|
e.
|
|
|
c.
|
|
ANS: C
57. Fie
problema de programare liniara
[max]
Prima
iteratie a algoritmului simplex este
|
|
|
5
|
3
|
0
|
0
|
0
|
|
|
B
|
|
|
|
|
|
|
|
0
|
|
36
|
6
|
2
|
1
|
0
|
0
|
|
0
|
|
40
|
5
|
5
|
0
|
1
|
0
|
|
0
|
|
28
|
2
|
4
|
0
|
0
|
1
|
|
|
0
|
0
|
0
|
0
|
0
|
0
|
|
|
|
5
|
3
|
0
|
0
|
0
|
Stabiliti
care este vectorul care iese, respectiv vectorul care
intra in baza
|
a.
|
intra ,
iese 
|
d.
|
intra ,
iese 
|
|
b.
|
intra ,
iese 
|
e.
|
intra ,
iese 
|
|
c.
|
intra ,
iese 
|
ANS: D
58. Fie
problema de programare liniara
[max]
Prima
iteratie a algoritmului simplex este
|
|
|
30
|
24
|
60
|
0
|
0
|
|
|
B
|
|
|
|
|
|
|
|
0
|
|
30
|
6
|
3
|
5
|
1
|
0
|
|
0
|
|
50
|
2
|
2
|
10
|
0
|
1
|
|
|
0
|
0
|
0
|
0
|
0
|
0
|
|
|
|
30
|
24
|
60
|
0
|
0
|
Stabiliti
care este vectorul care iese, respectiv vectorul care
intra in baza
|
a.
|
intra ,
iese 
|
d.
|
intra ,
iese 
|
|
b.
|
intra ,
iese 
|
e.
|
intra ,
iese 
|
|
c.
|
intra ,
iese 
|
ANS: E
59. Fie
problema de programare liniara
[max]
Prin
aplicarea algoritmului simplex se ajunge la urmatorul tabel:
|
|
|
30
|
24
|
60
|
0
|
0
|
|
|
B
|
|
|
|
|
|
|
|
30
|
|
1
|
1
|
|
0
|
|
-
|
|
60
|
|
|
0
|
|
1
|
|
|
|
|
318
|
30
|
|
|
|
|
|
|
|
0
|
|
0
|
-
|
-
|
In
acest caz pivotul este :
|
a.
|
|
d.
|
|
|
b.
|
|
e.
|
|
|
c.
|
|
ANS: B
60. Fie
problema de programare liniara
[max]
Prin
aplicarea algoritmului simplex se ajunge la urmatorul tabel:
|
|
|
3
|
4
|
0
|
0
|
0
|
|
|
B
|
|
|
|
|
|
|
|
0
|
|
4
|
0
|
0
|
1
|
|
|
|
3
|
|
4
|
1
|
0
|
0
|
|
-1
|
|
4
|
|
6
|
0
|
1
|
0
|
|
1
|
|
|
36
|
3
|
4
|
0
|
|
1
|
|
|
|
0
|
0
|
0
|
|
-1
|
Ce
decizie se ia?
|
a.
|
Solutia nu este optima
|
d.
|
Solutia este optima, ,
iar 
|
|
b.
|
intra ,
iese 
|
e.
|
intra ,
iese 
|
|
c.
|
Solutia este optima, ,
iar 
|
ANS: C
61. Fie
problema de programare liniara
[max]
Prin
aplicarea algoritmului simplex se ajunge la urmatorul tabel:
|
|
|
3
|
4
|
0
|
0
|
0
|
|
|
B
|
|
|
|
|
|
|
|
0
|
|
20
|
2,5
|
1
|
1
|
0
|
0
|
|
0
|
|
30
|
3
|
3
|
0
|
1
|
0
|
|
0
|
|
16
|
1
|
2
|
0
|
0
|
1
|
|
|
0
|
0
|
0
|
0
|
0
|
0
|
|
|
|
3
|
4
|
0
|
0
|
0
|
Ce
decizie se ia?
|
a.
|
intra ,
iese 
|
d.
|
intra ,
iese 
|
|
b.
|
intra ,
iese 
|
e.
|
intra ,
iese 
|
|
c.
|
intra ,
iese 
|
ANS: A
62. Fie
problema de programare liniara
[max]
Prin
aplicarea algoritmului simplex se ajunge la urmatorul tabel:
|
|
|
5
|
3
|
0
|
0
|
0
|
|
|
B
|
|
|
|
|
|
|
|
5
|
|
5
|
1
|
0
|
|
|
0
|
|
3
|
|
3
|
0
|
1
|
|
|
0
|
|
0
|
|
6
|
0
|
0
|
|
-1
|
1
|
|
|
34
|
5
|
3
|
|
|
0
|
|
|
|
0
|
0
|
|
|
0
|
Ce
decizie se ia?
|
a.
|
Problema are optim infinit
|
d.
|
Solutia este cea optima, iar ,
iar 
|
|
b.
|
Solutia este cea optima, iar ,
iar 
|
e.
|
Solutia nu este optima, intra ,
iese 
|
|
c.
|
Solutia obtinuta nu este optima, intra
in baza, iar iese
|
ANS: B
63. Fie
problema de programare liniara
[max]
Prima
iteratie a algoritmului simplex este
|
|
|
30
|
60
|
24
|
0
|
0
|
|
|
B
|
|
|
|
|
|
|
|
0
|
|
30
|
6
|
3
|
4
|
1
|
0
|
|
0
|
|
50
|
2
|
2
|
10
|
0
|
1
|
|
|
0
|
0
|
0
|
0
|
0
|
0
|
|
|
|
30
|
60
|
24
|
0
|
0
|
Stabiliti
care este vectorul care iese, respectiv vectorul care
intra in baza
|
a.
|
intra ,
iese 
|
d.
|
intra ,
iese 
|
|
b.
|
intra ,
iese 
|
e.
|
intra ,
iese 
|
|
c.
|
intra ,
iese 
|
ANS: C
64. Fie
problema de programare liniara
[max]
Prima
iteratie a algoritmului simplex este
|
|
|
30
|
24
|
60
|
0
|
0
|
|
|
B
|
|
|
|
|
|
|
|
0
|
|
50
|
6
|
3
|
25
|
1
|
0
|
|
0
|
|
30
|
2
|
2
|
10
|
0
|
1
|
|
|
0
|
0
|
0
|
0
|
0
|
0
|
|
|
|
30
|
24
|
60
|
0
|
0
|
Stabiliti
care este vectorul care iese, respectiv vectorul care
intra in baza
|
a.
|
intra ,
iese 
|
d.
|
intra ,
iese 
|
|
b.
|
intra ,
iese 
|
e.
|
intra ,
iese 
|
|
c.
|
intra ,
iese 
|
ANS: E
| | | | | | | | | | | | | | | | | | | | | | | | | | | | | | | | | | | | | | | | | | | | | | | | | | | | | | | | | | | | | | |