Astronomie
Biologie
Chimie
Desen
Diverse
Drept
Economie
Engleza
Filozofie
Fizica
Franceza
Geografie
Germana
Informatica
Istorie
Italiana
Marketing
Matematica
Medicina
Muzica
Psihologie
Romana
Romana1
Spaniola
Astronomie
Biologie
Chimie
Desen
Diverse
Drept
Economie
Engleza
Filozofie
Fizica
Franceza
Geografie
Germana
Informatica
Istorie
Italiana
Marketing
Matematica
Medicina
Muzica
Psihologie
Romana
Romana1
Spaniola
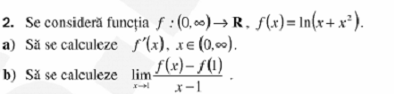
ROLUL DERIVATELOR IN STUDIUL FUNCTIILOR I - EXERCITII
ROLUL
DERIVATELOR
IN
STUDIUL FUNCTIILOR I - EXERCITII
ECoduri.com - Coduri postale - adresa, caen, cor
Politica de confidentialitate
Copyright
©
Contact
|
Trimite document
Ultimele documente adaugate
Mihai Eminescu
-
Opere romantice - autori si opere reprezentative Gioacchino Rossini, Giuseppe Verdi, Richard Wagner
Mihai Beniuc
-
Mihai beniuc - „poezii"
Mihai Eminescu
-
Mihai eminescu - student la berlin
Mircea Eliade
-
Mircea Eliade - Mioara Nazdravana (mioriţa)
Vasile Alecsandri
-
Chirita in provintie de Vasile Alecsandri -expunerea subiectului
Emil Girlenu
-
Dragoste de viata de Jack London
Ion Luca Caragiale
-
Triumful talentului… (reproducere) de Ion Luca Caragiale
Mircea Eliade
-
Fantasticul in proza lui Mircea Eliade - La tiganci
Mihai Eminescu
-
„Personalitate creatoare” si „figura a spiritului creator” eminescian
George Calinescu
-
Enigma Otiliei de George Calinescu - geneza, subiectul si tema romanului
Scriitori romani